Калькулятор коэффициента пропускной способности – это двухсторонний online инструмент, который поможет рассчитать коэффициент пропускной способности Cv исходя из заданных параметров, либо рассчитать значение пропускной способности, зная коэффициент Cv. Коэффициент пропускной способности Cv был введен в расчеты для облегчения работы проектировщиков гидравлических и пневматических систем. С его помощью можно без труда определить расход рабочей среды, проходящей через элемент трубопроводной арматуры.
Расчетные формулы
1. Применительно к газовой среде
1.1. Расчёт расхода
Дано:
- давление на входе P1 [бар]
- давление на выходе P2 [бар]
- относительная плотность газа Sг (относительно воздуха)
- коэффициентом пропускной способности Cv
Если P2+1>0.5*(P1+1) тогда
[норм.
литр/мин]
Если P2+1<0.5*(P1+1) тогда
[норм.
литр/мин]
1.2. Расчёт требуемого минимального коэффициента Cv
Дано:
- давление на входе P1 [бар]
- давление на выходе P2 [бар]
- расход Q [норм. литр/мин]
- относительная плотность газа Sг (относительно воздуха)
Если P2+1>0.5*(P1+1) тогда
Если P2+1<0.5*(P1+1) тогда
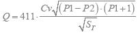
2. Применительно к жидкой среде
2.1. Расчёт расхода
Дано:
- давление на входе P1 [бар]
- давление на выходе P2 [бар]
- относительная плотность жидкости Sж (относительно воды)
- коэффициентом пропускной способности Cv
[литр/мин]
1.2. Расчёт требуемого минимального коэффициента Cv
Дано:
- давление на входе P1 [бар]
- давление на выходе P2 [бар]
- расход Q [литр/мин]
- относительная плотность жидкости Sж (относительно воды)
Будьте внимательны с переводом единиц измерения. Это можно сделать в соответствующем разделе нашего сайта.
